Dövlət Xidməti unun topdansatış qiymətləri barədə məlumat yayıb
Hazırda Azərbaycanda 50 kq-lıq un kisələrinin topdansatış qiymətləri 26-28 manat arasında dəyişir.
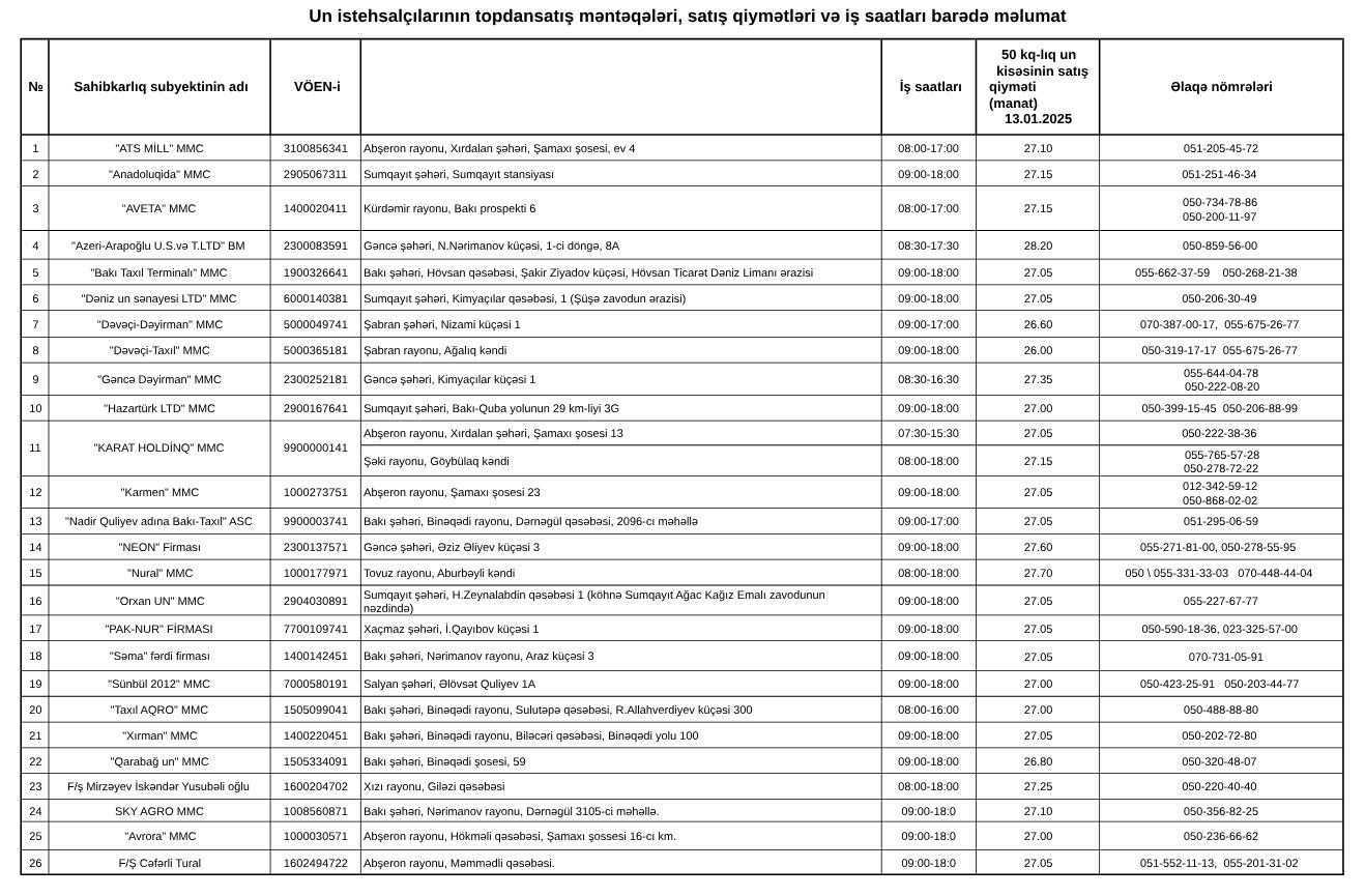
İqtisadiyyat Nazirliyi yanında Antiinhisar və İstehlak Bazarlarına Nəzarət Dövlət Xidməti Un istehsalçılarının topdansatış məntəqələri, satış qiymətləri və iş saatları barədə məlumat yayıb.
Qeyd edilib ki, 13 Yanvar 2025-ci il tarixində 50 kq-lıq un kisəsinin satış qiymətləri 26 manat - 28.20 manat civarındadır.
Müştərilərin xəbərləri
SON XƏBƏRLƏR
- 2 ay sonra
- 2 həftə sonra
- 3 gün sonra
-
-
2 saat əvvəl
Ən çox qazandıran Dubay və Əbu-Dabi layihələri - Ekspertlər Bakıya gəlir
- 3 saat əvvəl
- 5 saat əvvəl
-
6 saat əvvəl
Almaniya bankı: Bu il qızılın qiyməti 6 000 dollara yüksələ bilər
-
6 saat əvvəl
AKBA və Maliyyə Monitorinqi Xidməti arasında Anlaşma Memorandumu imzalanıb
- 7 saat əvvəl
- 7 saat əvvəl
- 7 saat əvvəl
- 7 saat əvvəl
Son Xəbərlər
Azərbaycanda Vakansiyalar - Azvak.az
2026-cı ildən sıfır xərclə ticarətə başlayın
Pulunuz gəlir gətirsin – illik 12% artım
Nazir müavini işdən çıxarıldı
Azərbaycan və Türkiyə arasında yeni razılaşma
İnstagram, Facebook və WhatsApp-a abunəlik seçimi gəlir
Ən çox oxunanlar
İntensiv qar yağacağı gözlənilir - XƏBƏRDARLIQ
Dolların sabah üçün rəsmi məzənnəsi müəyyən olunub
Agentlik rəhbəri: Daha 30 min nəfərin kiçik bizneslərini qurmasına dəstək göstəriləcək
Aqrar Sığorta Fondu Şəmkir və Samuxda sığorta ödənişləri edib
“Azərlotereya” 2025-ci ildə 267 böyük uduş təqdim edib
Bakcell lotereyasında meqa uduşun qalibi bəlli oldu!
Azərbaycanda "Evini hissə-hissə al" satış modelinə start verildi
Azərbaycanda araq istehsalının həcmi 100 min dekalitrə çatdırılacaq



















